71. The root locus plot for a system is given below. The open loop transfer function corresponding to this plot is given by

72. The largest error between reference input and output during the transient period is called:
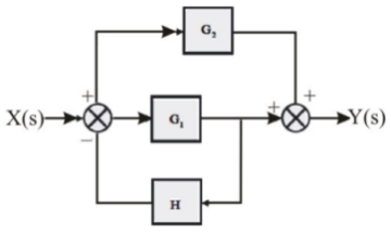
73. The block diagram of a feedback system is shown in the figure.
The transfer function $$\frac{{Y\left( s \right)}}{{X\left( s \right)}}$$ of the system is
The transfer function $$\frac{{Y\left( s \right)}}{{X\left( s \right)}}$$ of the system is

74. In a type 2 system, if a pole has been added, it will cause:
75. A family of constant N circles has the centre as:
76. In the signal flow graph of figure, $$\frac{{\text{y}}}{{\text{x}}}$$ equals

77. A negative-feedback closed-loop system is supplied with an input of 5 V, the system has a forward gain of 1 and a feedback gain of 1. What is the output voltage?
78. For the system $$\frac{2}{{s + 1}},$$ the approximate time taken for a step response to reach 98% of its final value is
79. Gain cross over frequency is the frequency at which gain is
80. Consider the following statements relating to synchros:
1. The rotor of the control transformer is either disc shaped.
2. The rotor of the transmitter is so constructed as to have a low magnetic reluctance.
3. Transmitter and control transformer pair is used as an error detector.
Which of these statements are correct?
1. The rotor of the control transformer is either disc shaped.
2. The rotor of the transmitter is so constructed as to have a low magnetic reluctance.
3. Transmitter and control transformer pair is used as an error detector.
Which of these statements are correct?
Read More Section(Control Systems)
Each Section contains maximum 100 MCQs question on Control Systems. To get more questions visit other sections.
