31. The Laplace transform of a continuous-time signal x(t) is $$X\left( s \right) = {{5 - s} \over {{s^2} - s - 2}}.$$ If the Fourier transform of this signal exists, then x(t) is
32. A network consisting of a finite number of linear resistor (R), inducer (L), and capacitor (C) elements, connected all in series or all in parallel, is excited with a source of the form
$$\sum\limits_{k = 1}^3 {{a_x}\,\cos \left( {k{\omega _0}t} \right),{\rm{were}}\,{a_k} \ne 0,} \,{\omega _0} \ne 0.$$
The source has nonzero impedance. Which one of the following is a possible form of the output measured across a resistor in the network?
$$\sum\limits_{k = 1}^3 {{a_x}\,\cos \left( {k{\omega _0}t} \right),{\rm{were}}\,{a_k} \ne 0,} \,{\omega _0} \ne 0.$$
The source has nonzero impedance. Which one of the following is a possible form of the output measured across a resistor in the network?
33. The complex envelope of the bandpass signal $$x\left( t \right) = \sqrt 2 \left( {{{\sin \left( {{{\pi t} \over 5}} \right)} \over {{{\pi t} \over 5}}}} \right)\sin \left( {\pi t - {\pi \over 4}} \right),$$ centered about $$f = {1 \over 2}Hz,$$ is
34. A signal x(t) has a Fourier transform X(ω). If x(t) is a real and odd function of t, then X(ω) is
35. The power in the signal
$$s\left( t \right) = 8\cos \left( {20\pi t - {\pi \over 2}} \right) + 4\,\sin \left( {15\pi t} \right)$$ is
$$s\left( t \right) = 8\cos \left( {20\pi t - {\pi \over 2}} \right) + 4\,\sin \left( {15\pi t} \right)$$ is
36. A 5-point sequence x[n] is given as
x[-3] = 1, x[-2] = 1, x[-1] = 0, x[0] = 5, x[1] = 1.
Let X(ejω) denote the discrete-time Fourier transform of x[n]. The value of $$\int\limits_{ - \pi }^\pi {X\left( {{e^{j\omega }}} \right)} d\omega $$
x[-3] = 1, x[-2] = 1, x[-1] = 0, x[0] = 5, x[1] = 1.
Let X(ejω) denote the discrete-time Fourier transform of x[n]. The value of $$\int\limits_{ - \pi }^\pi {X\left( {{e^{j\omega }}} \right)} d\omega $$
37. The Fourier series representation of an impulse train denoted by
$$s\left( t \right) = \sum\limits_{n = - \infty }^\infty {\delta \left( {t - n{T_0}} \right)} \,{\rm{is}}\,{\rm{given}}\,{\rm{by}}$$
$$s\left( t \right) = \sum\limits_{n = - \infty }^\infty {\delta \left( {t - n{T_0}} \right)} \,{\rm{is}}\,{\rm{given}}\,{\rm{by}}$$
38. Let Y(s) be the unit-step response of a causal system having a transfer function
$$G\left( s \right) = {{3 - s} \over {\left( {s + 1} \right)\left( {s + 3} \right)}}$$
That is, $$Y\left( s \right) = {{G\left( s \right)} \over s}.$$ The forced response of the system is
$$G\left( s \right) = {{3 - s} \over {\left( {s + 1} \right)\left( {s + 3} \right)}}$$
That is, $$Y\left( s \right) = {{G\left( s \right)} \over s}.$$ The forced response of the system is
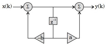
39. Consider the system shown in the figure below. The transfer function $$\frac{{Y\left( z \right)}}{{X\left( z \right)}}$$ of the system is

40. The impulse response of an LTI system can be obtained by
Read More Section(Signal Processing)
Each Section contains maximum 100 MCQs question on Signal Processing. To get more questions visit other sections.
