51. The function x(t) is shown in the figure. Even and odd parts of a unit-step function u(t) are respectively,

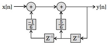
52. For the discrete-time system shown in the figure, the poles of the system transfer function are located at

53. Let $$x\left[ n \right] = {\left( { - {1 \over 9}} \right)^n}u\left( n \right) - {\left( { - {1 \over 3}} \right)^n}u\left( { - n - 1} \right).$$
The Region of Convergence (ROC) of the z-transform of x[n]
The Region of Convergence (ROC) of the z-transform of x[n]
54. An LTI system having transfer function $$\frac{{{s^2} + 1}}{{{s^2} + 2s + 1}}$$ and input x(t) = sin(t + 1) is in steady state. The output is sampled at a rate ωs rad/s to obtain the final output {y(k)}. Which of the following is true?
55. Let x[n] = x[-n]. Let X(z) be the z-transform of x[n]. If 0.5 + j0.25 is a zero of X(z), which one of the following must also be a zero of X(z).
56. If G(f) represents the Fourier transform of a signal g(t) which is real and odd symmetric in time, then
57. Consider the sequence
x[n] = {-4 - j5, 1 + j2, 4}
The conjugate antisymmetric part of the sequence is
x[n] = {-4 - j5, 1 + j2, 4}
The conjugate antisymmetric part of the sequence is
58. If the region of convergence of x1[n] + x2[n] is $${1 \over 3} < \left| z \right| < {2 \over 3},$$ then the region of convergence of x1[n] - x2[n] includes
59. The Fourier series of an odd periodic function, contains only
60. Increased pulse-width in the flat-top sampling, leads to

Read More Section(Signal Processing)
Each Section contains maximum 100 MCQs question on Signal Processing. To get more questions visit other sections.
