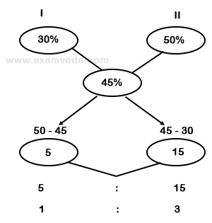
In what ratio must a mixture of 30% alcohol strength be mixed with that of 50% alcohol strength so as get a mixture of 45% alcohol strength ?
A. 1 : 2
B. 1 : 3
C. 2 : 1
D. 3 : 1
Answer: Option B
Solution (By Examveda Team)
By using Alligation rule,
Hence, required ratio = 1 : 3

Join The Discussion