41. Match the following
List-I (Items)
List-II (Element)
a. Outsourcing
1. Cost Reduction
b. Process Selection
2. Cheap Product
c. Make decision
3. Lower Cost of Production
d. Buy decision
4. Layout
| List-I (Items) | List-II (Element) |
| a. Outsourcing | 1. Cost Reduction |
| b. Process Selection | 2. Cheap Product |
| c. Make decision | 3. Lower Cost of Production |
| d. Buy decision | 4. Layout |
42. Personal influence is most important at the stage of the consumer adoption process.
43. Which of the following is/are reasons for outsourcing?
44. Which of the following combination is/are correct?
List-I (Type of Control)
List-II (Features)
a. GOLF Analysis
1. Government, Open Market, Local and Foreign Source
b. SOS Analysis
2. Seasonal Off Seasonal
c. SDE Analysis
3. Scarce, Difficult to procedure and easy to procure
d. ABC Analysis
4. Always Better Control
| List-I (Type of Control) | List-II (Features) |
| a. GOLF Analysis | 1. Government, Open Market, Local and Foreign Source |
| b. SOS Analysis | 2. Seasonal Off Seasonal |
| c. SDE Analysis | 3. Scarce, Difficult to procedure and easy to procure |
| d. ABC Analysis | 4. Always Better Control |
45. Average inventory level is reduced by
46. Quality is/are
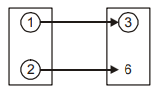
47. Given

The above diagram shows

The above diagram shows
48. Transportation Problems includes
49. Given below are two statements, one labelled as Assertion (A) an d the other labelled as Reason (R). Read the statements and choose the correct answer.
Assertion (A) The marketing costs of reaching loyal consumers are much lower because the firm does not have to spend money on advertising and promotion campaigns to attract these customers.
Reason (R) A high level of brand loyalty does not insulate the firm from competition.
Assertion (A) The marketing costs of reaching loyal consumers are much lower because the firm does not have to spend money on advertising and promotion campaigns to attract these customers.
Reason (R) A high level of brand loyalty does not insulate the firm from competition.
50. A periodic report can be used to
Read More Section(Product and Brand Management)
Each Section contains maximum 100 MCQs question on Product and Brand Management. To get more questions visit other sections.
