11. Among the following compounds, the one that undergoes de-protonation most readily in the presence of base to form a carbanion is
12. In the reaction,

the major product X and Y are

the major product X and Y are
13. The most suitable reagent combination to bring out the following transformation

is

is
14. The compound that is not aromatic is
15. The major product of the following reaction is

16. o-bromophenol is readily prepared from phenol using the following conditions
17. The major product of the following reaction is

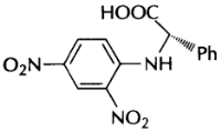
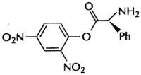
18. The reaction,

is the example of

is the example of
19. In the carbylamine reaction, R-X is converted to R-Y via the intermediate Z, R-X, R-Y and Z, respectively are
20. The major product of the following reaction is

Read More Section(Basics of Organic Reaction Mechanism)
Each Section contains maximum 100 MCQs question on Basics of Organic Reaction Mechanism. To get more questions visit other sections.
