11. 1H NMR spectrum of [18]-annulene shows
12. Oxymercuration-demercuration reaction of t-methylcyclohexene gives
13. Identify the correct stereochemical relationship amongst the hydrogen atoms Ha, Hb and Hc in the following molecule

14. Esterification of the acid P with the alcohol Q will give

15. Proteins are biopolymers. The monomer units present in them are
16. The acylanion equivalents among the following compounds (P-S) are

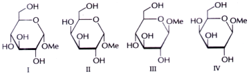
17. Identify the correct set of stereochemical relationships amongst the following monosaccharides I-IV

18. (E)-3-bromo-3-hexene when treated with CH3O- in CH3OH gives
19. The configurations of the reactant and the product in the following reaction, are

20. The absolute configurations of two chiral centres in the following molecule are

Read More Section(Basics of Organic Reaction Mechanism)
Each Section contains maximum 100 MCQs question on Basics of Organic Reaction Mechanism. To get more questions visit other sections.
