71. Among the following amino acids, the (R) -enantiomer is represented by
72. The major product of the acetylation of salicylic acid with Ac2O/H+ followed by heating with anhydrous AlCl3 is
73. The major stereoisomer obtained in the reaction of (S)-2 phenylpropanal with MeMgBr is
74. The major stereoisomer P obtained in the following reaction is

75. The major product P of the following reaction is

76. The major product P of the given reaction is

77. In the following reaction,

the major product [X] is

the major product [X] is
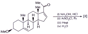
78. In the following reaction sequence,

the major product [X] is

the major product [X] is
79. In the following reaction,

the major product [X] is

the major product [X] is
80. Among the bicycle [3.3.0] octane diones given below, which one will exhibit five signals in the broad band decoupled 13C NMR spectrum?
Read More Section(Basics of Organic Reaction Mechanism)
Each Section contains maximum 100 MCQs question on Basics of Organic Reaction Mechanism. To get more questions visit other sections.
