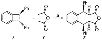
21. In the following reaction,

the absolute configurations of the chiral centres in X and Y are

the absolute configurations of the chiral centres in X and Y are
22. The reaction between X and Y to give Z proceeds via

23. The IR stretching frequencies (cm-1) for the compound X are as follows: 3300-3500 (s, br); 3000 (m); 2225 (s); 1680 (s).

The correct assignment of the absorption bands is

The correct assignment of the absorption bands is
Read More Section(Basics of Organic Reaction Mechanism)
Each Section contains maximum 100 MCQs question on Basics of Organic Reaction Mechanism. To get more questions visit other sections.
